thecloer
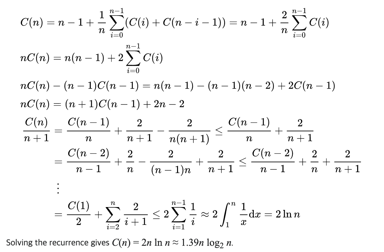
[Algorithm] 퀵 정렬(Quick Sort) - C++, Java, Python 구현